mp-1196426/Yb11AlSb9/anharm

Harmonic properties

../../_images/fig_bandos_pr15529.png

(a) Phonon dispersion with participation ratio and DOS

../../_images/fig_thermo15528.png

(b) Thermodynamic properties

Grüneisen parameters

../../_images/fig_gru_all6727.png

(a) Grüneisen parameters

../../_images/fig_gruneisen6727.png

(b) Phonon dispersion with Grüneisen parameters

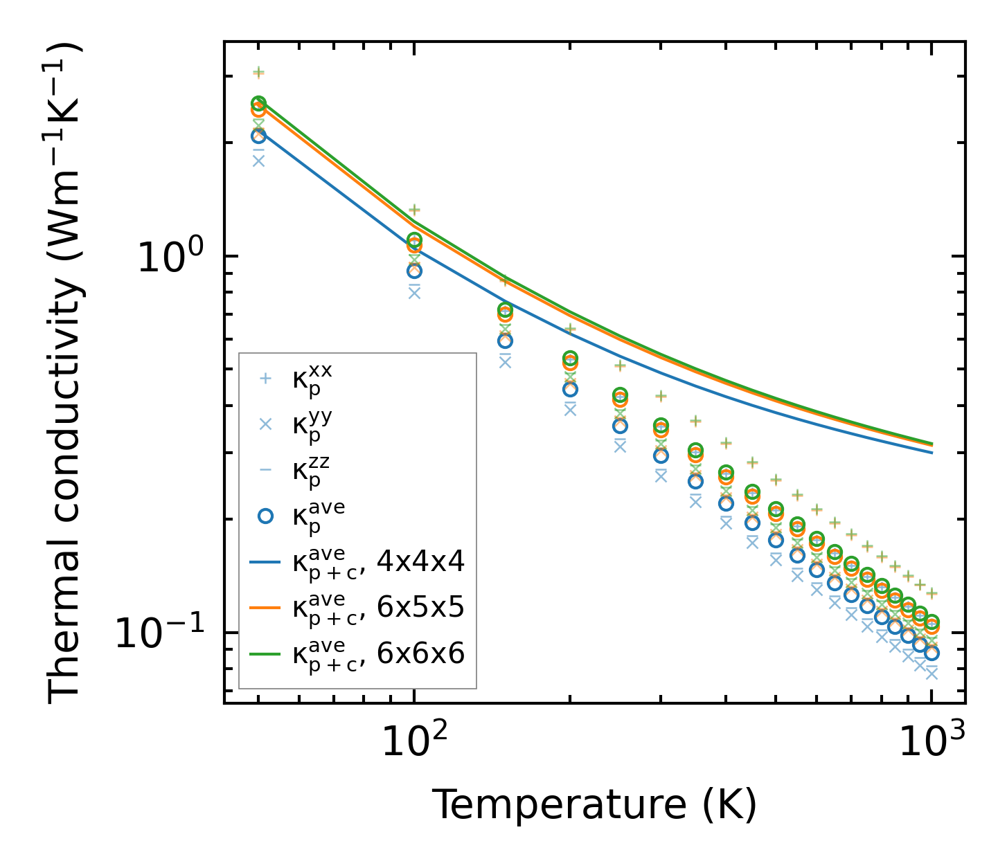
Thermal conductivity

3-phonon (LASSO) — q-mesh: 6x6x6, supercell: 2x1x1

../../_images/fig_kappa12667.png

(a) Temperature-dependent lattice thermal conductivity

../../_images/fig_kappa_vs_grain_size6806.png

(b) Peierls lattice thermal conductivity w.r.t grain size

Phonon lifetime and scattering rates

../../_images/fig_lifetime6661.png

(a) Phonon lifetime due to phonon-phonon scattering

../../_images/fig_scat_rates6660.png

(b) Phonon scattering rates

Cumulative and spectral thermal conductivity

../../_images/fig_cumu_frequency6661.png

(a) Spectral and cumulative thermal conductivity w.r.t frequency

../../_images/fig_cumu_mfp6660.png

(b) Spectral and cumulative thermal conductivity w.r.t MFP

Force constants

../../_images/fig_fc215124.png

(a) Force constants w.r.t atomic distance

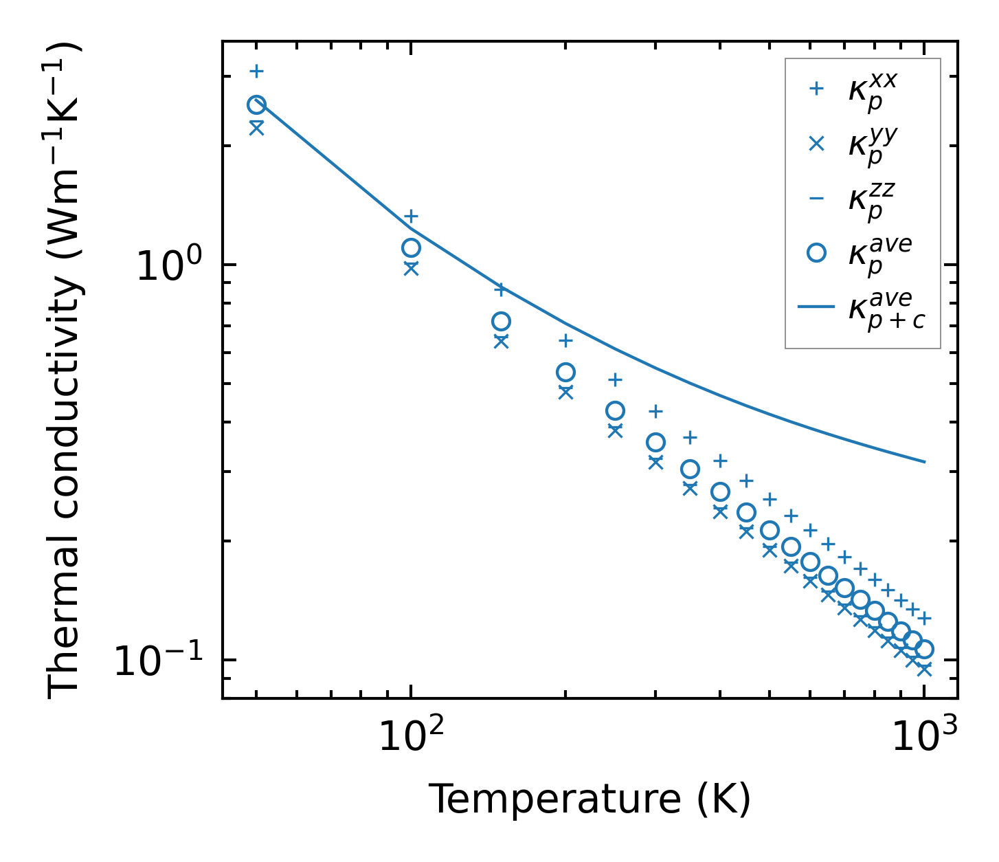
Summary

../../_images/fig_kappa12668.png

(a) Temperature-dependent lattice thermal conductivity

../../_images/fig_times25662.png

(b) Computation time