mp-1180484/MnAgO4/anharm

Harmonic properties

../../_images/fig_bandos_pr16137.png

(a) Phonon dispersion with participation ratio and DOS

../../_images/fig_thermo16136.png

(b) Thermodynamic properties

Grüneisen parameters

../../_images/fig_gru_all6995.png

(a) Grüneisen parameters

../../_images/fig_gruneisen6995.png

(b) Phonon dispersion with Grüneisen parameters

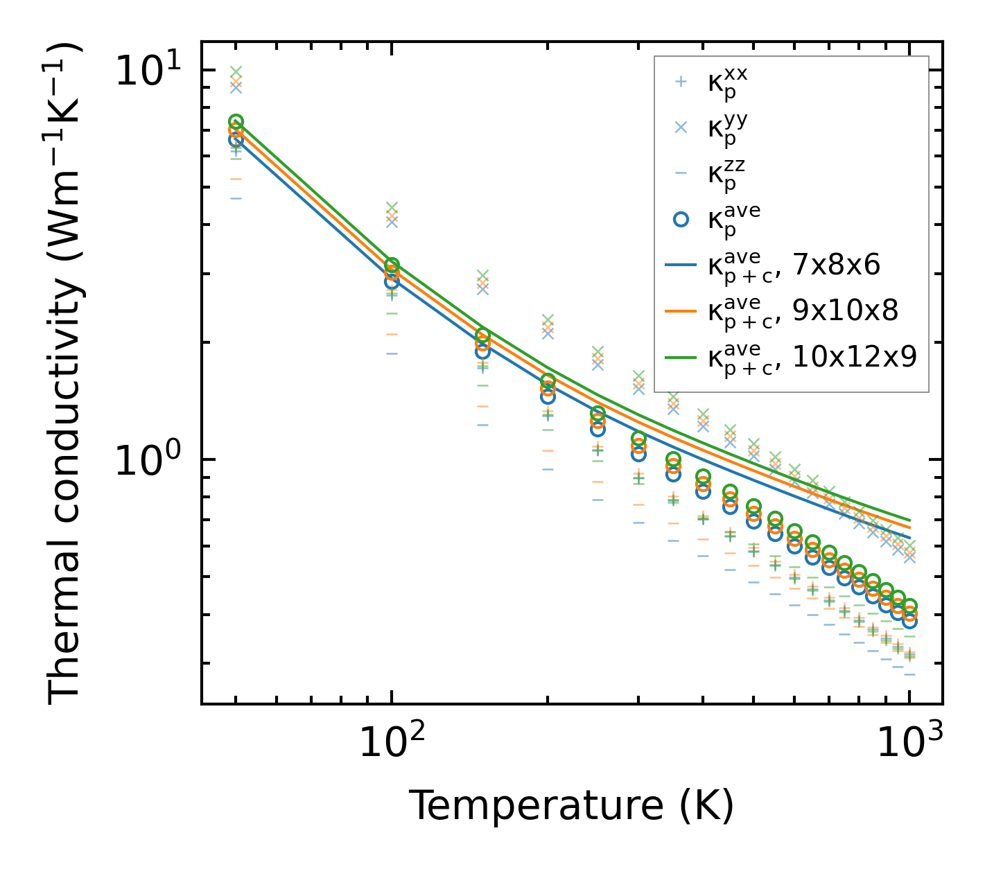
Thermal conductivity

3-phonon (LASSO) — q-mesh: 10x12x9, supercell: 1x2x2

../../_images/fig_kappa13170.png

(a) Temperature-dependent lattice thermal conductivity

../../_images/fig_kappa_vs_grain_size7077.png

(b) Peierls lattice thermal conductivity w.r.t grain size

Phonon lifetime and scattering rates

../../_images/fig_lifetime6929.png

(a) Phonon lifetime due to phonon-phonon scattering

../../_images/fig_scat_rates6928.png

(b) Phonon scattering rates

Cumulative and spectral thermal conductivity

../../_images/fig_cumu_frequency6929.png

(a) Spectral and cumulative thermal conductivity w.r.t frequency

../../_images/fig_cumu_mfp6928.png

(b) Spectral and cumulative thermal conductivity w.r.t MFP

Force constants

../../_images/fig_fc215732.png

(a) Force constants w.r.t atomic distance

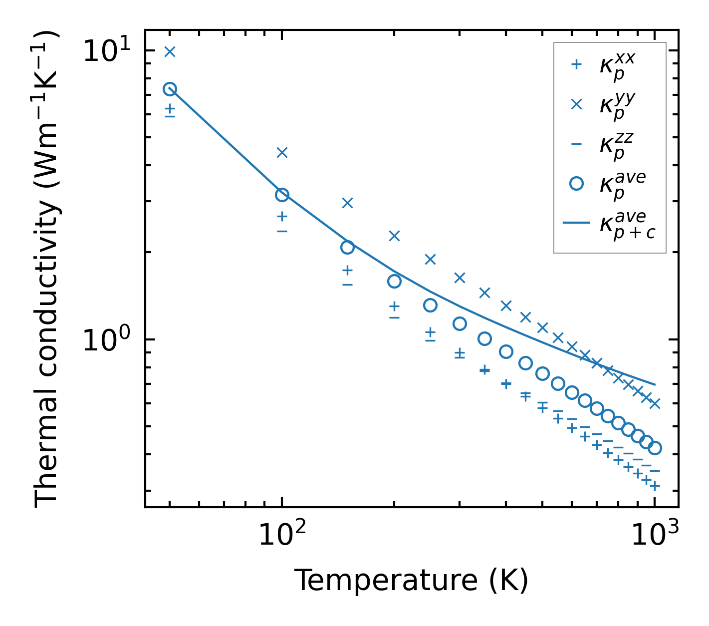
Summary

../../_images/fig_kappa13171.png

(a) Temperature-dependent lattice thermal conductivity

../../_images/fig_times26537.png

(b) Computation time