mp-1179336/SnSe/anharm

Harmonic properties

../../_images/fig_bandos_pr16124.png

(a) Phonon dispersion with participation ratio and DOS

../../_images/fig_thermo16123.png

(b) Thermodynamic properties

Grüneisen parameters

../../_images/fig_gru_all6990.png

(a) Grüneisen parameters

../../_images/fig_gruneisen6990.png

(b) Phonon dispersion with Grüneisen parameters

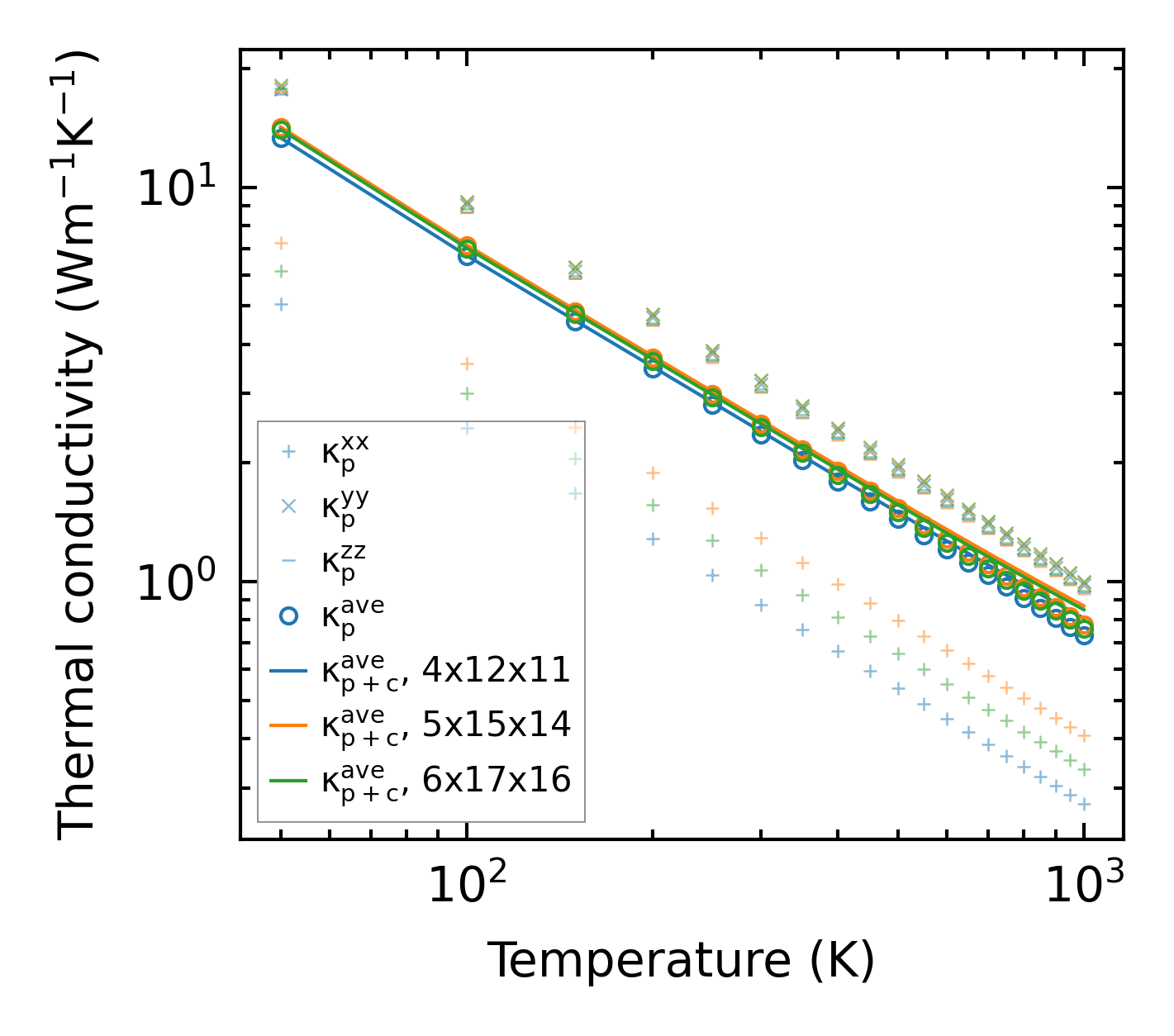
Thermal conductivity

3-phonon (LASSO) — q-mesh: 6x17x16, supercell: 2x3x3

../../_images/fig_kappa13160.png

(a) Temperature-dependent lattice thermal conductivity

../../_images/fig_kappa_vs_grain_size7072.png

(b) Peierls lattice thermal conductivity w.r.t grain size

Phonon lifetime and scattering rates

../../_images/fig_lifetime6924.png

(a) Phonon lifetime due to phonon-phonon scattering

../../_images/fig_scat_rates6923.png

(b) Phonon scattering rates

Cumulative and spectral thermal conductivity

../../_images/fig_cumu_frequency6924.png

(a) Spectral and cumulative thermal conductivity w.r.t frequency

../../_images/fig_cumu_mfp6923.png

(b) Spectral and cumulative thermal conductivity w.r.t MFP

Force constants

../../_images/fig_fc215719.png

(a) Force constants w.r.t atomic distance

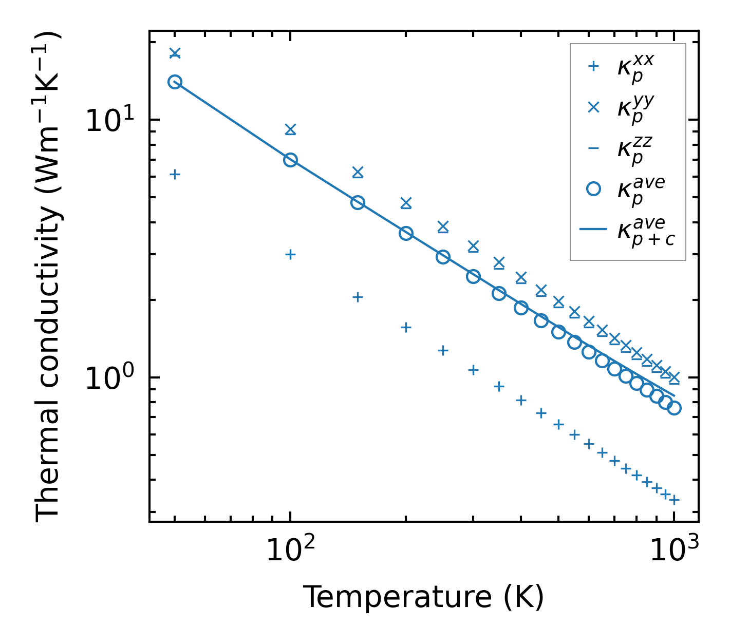
Summary

../../_images/fig_kappa13161.png

(a) Temperature-dependent lattice thermal conductivity

../../_images/fig_times26515.png

(b) Computation time