mp-1172870/K2Ho4Cu4S9/anharm

Harmonic properties

../../_images/fig_bandos_pr16093.png

(a) Phonon dispersion with participation ratio and DOS

../../_images/fig_thermo16092.png

(b) Thermodynamic properties

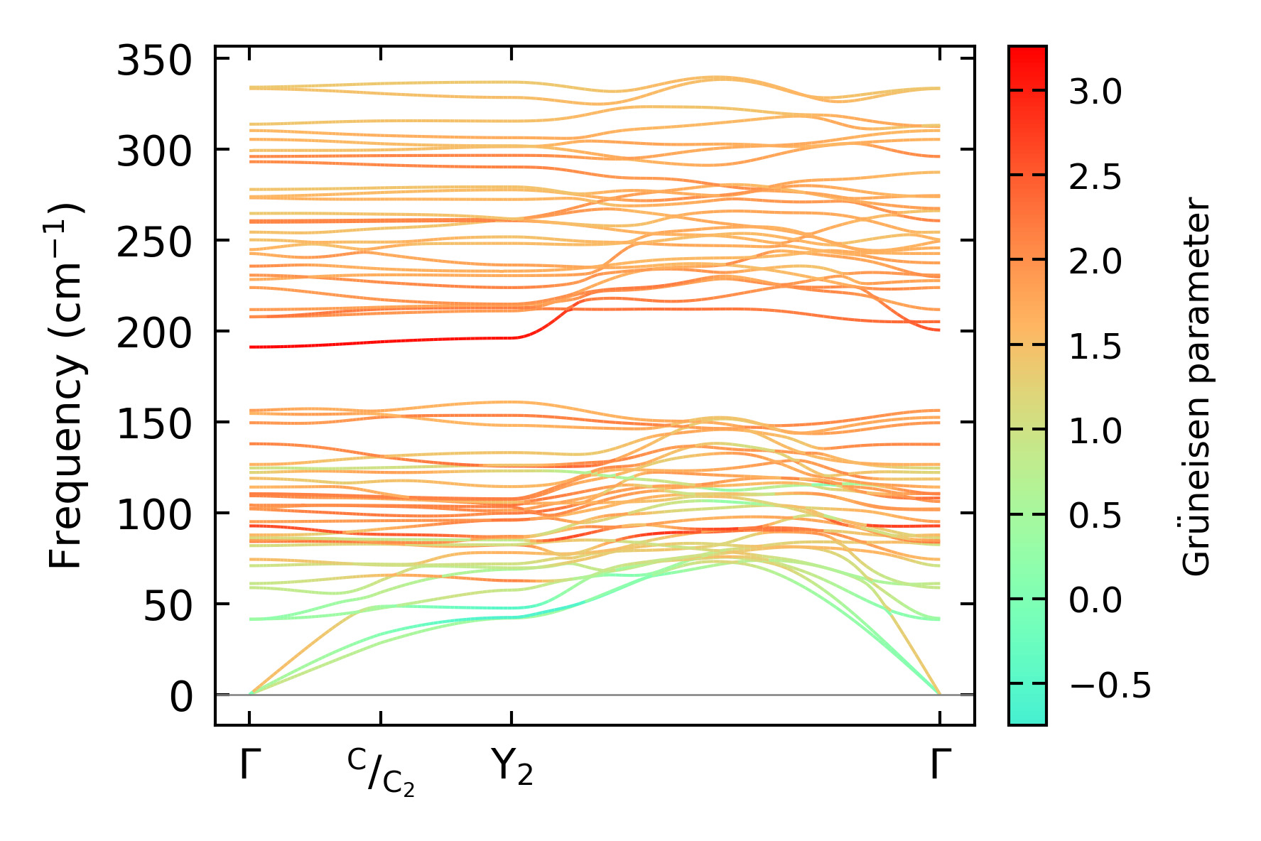
Grüneisen parameters

../../_images/fig_gru_all6974.png

(a) Grüneisen parameters

../../_images/fig_gruneisen6974.png

(b) Phonon dispersion with Grüneisen parameters

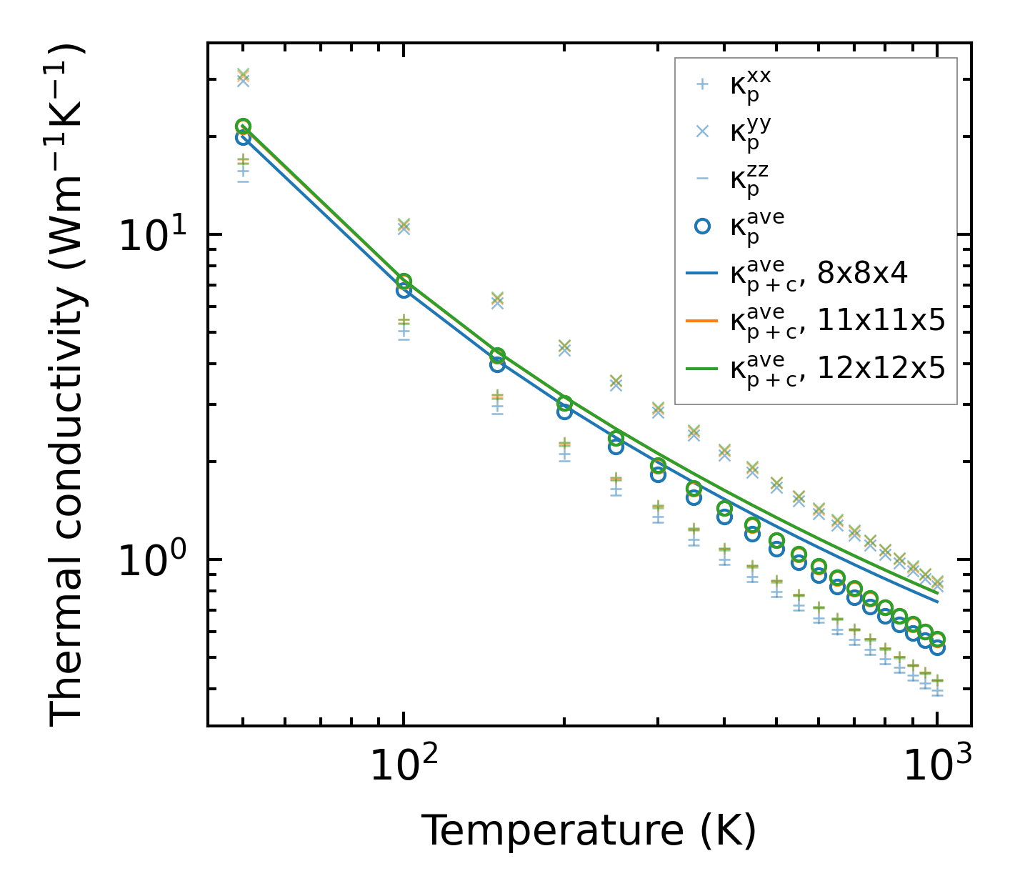
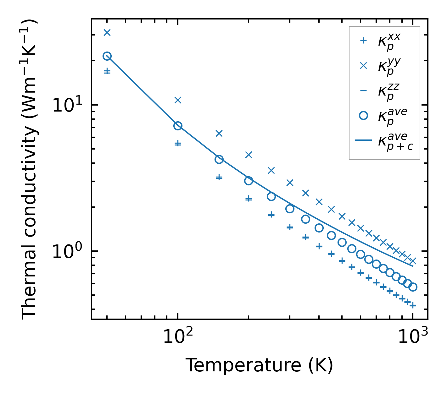
Thermal conductivity

3-phonon (LASSO) — q-mesh: 12x12x5, supercell: 1x3x1

../../_images/fig_kappa13128.png

(a) Temperature-dependent lattice thermal conductivity

../../_images/fig_kappa_vs_grain_size7056.png

(b) Peierls lattice thermal conductivity w.r.t grain size

Phonon lifetime and scattering rates

../../_images/fig_lifetime6908.png

(a) Phonon lifetime due to phonon-phonon scattering

../../_images/fig_scat_rates6907.png

(b) Phonon scattering rates

Cumulative and spectral thermal conductivity

../../_images/fig_cumu_frequency6908.png

(a) Spectral and cumulative thermal conductivity w.r.t frequency

../../_images/fig_cumu_mfp6907.png

(b) Spectral and cumulative thermal conductivity w.r.t MFP

Force constants

../../_images/fig_fc215688.png

(a) Force constants w.r.t atomic distance

Summary

../../_images/fig_kappa13129.png

(a) Temperature-dependent lattice thermal conductivity

../../_images/fig_times26467.png

(b) Computation time