mp-1153970/Zn4InGaO7/anharm

Harmonic properties

../../_images/fig_bandos_pr16092.png

(a) Phonon dispersion with participation ratio and DOS

../../_images/fig_thermo16091.png

(b) Thermodynamic properties

Grüneisen parameters

../../_images/fig_gru_all6973.png

(a) Grüneisen parameters

../../_images/fig_gruneisen6973.png

(b) Phonon dispersion with Grüneisen parameters

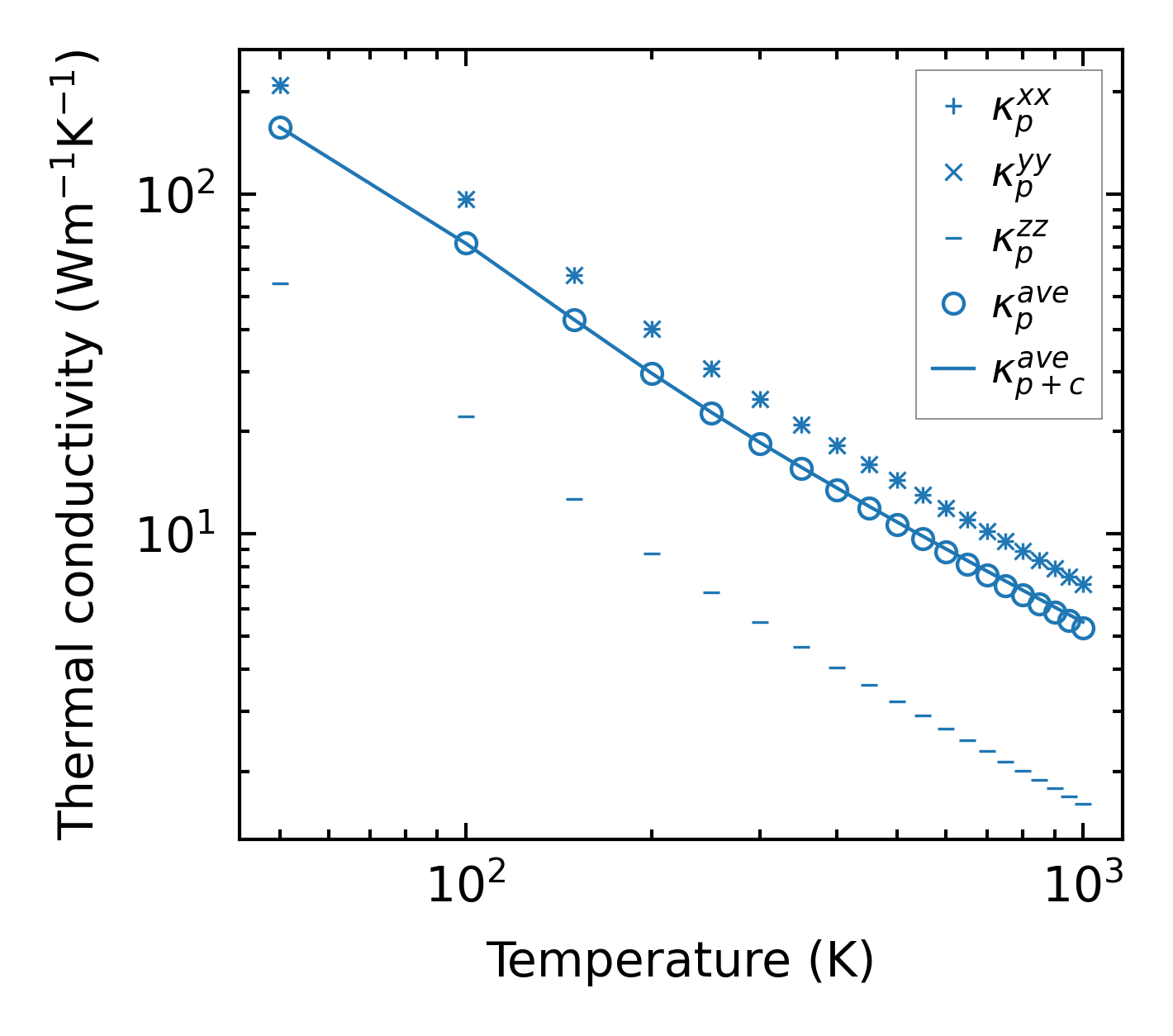
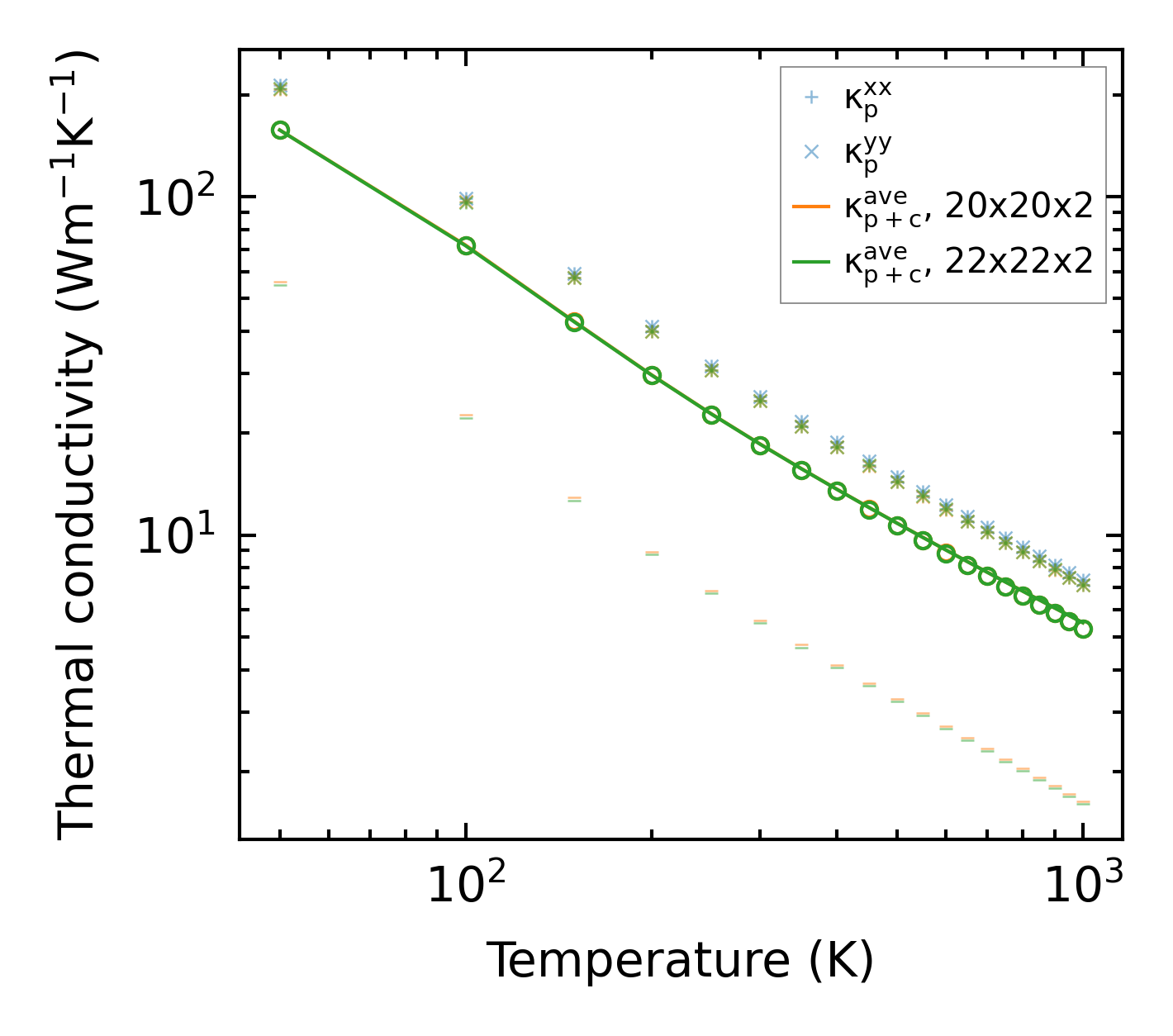
Thermal conductivity

3-phonon (LASSO) — q-mesh: 22x22x2, supercell: 2x2x1

../../_images/fig_kappa13126.png

(a) Temperature-dependent lattice thermal conductivity

../../_images/fig_kappa_vs_grain_size7055.png

(b) Peierls lattice thermal conductivity w.r.t grain size

Phonon lifetime and scattering rates

../../_images/fig_lifetime6907.png

(a) Phonon lifetime due to phonon-phonon scattering

../../_images/fig_scat_rates6906.png

(b) Phonon scattering rates

Cumulative and spectral thermal conductivity

../../_images/fig_cumu_frequency6907.png

(a) Spectral and cumulative thermal conductivity w.r.t frequency

../../_images/fig_cumu_mfp6906.png

(b) Spectral and cumulative thermal conductivity w.r.t MFP

Force constants

../../_images/fig_fc215687.png

(a) Force constants w.r.t atomic distance

Summary

../../_images/fig_kappa13127.png

(a) Temperature-dependent lattice thermal conductivity

../../_images/fig_times26464.png

(b) Computation time