mp-1119338/Na2O/anharm

Harmonic properties

../../_images/fig_bandos_pr16083.png

(a) Phonon dispersion with participation ratio and DOS

../../_images/fig_thermo16082.png

(b) Thermodynamic properties

Grüneisen parameters

../../_images/fig_gru_all6969.png

(a) Grüneisen parameters

../../_images/fig_gruneisen6969.png

(b) Phonon dispersion with Grüneisen parameters

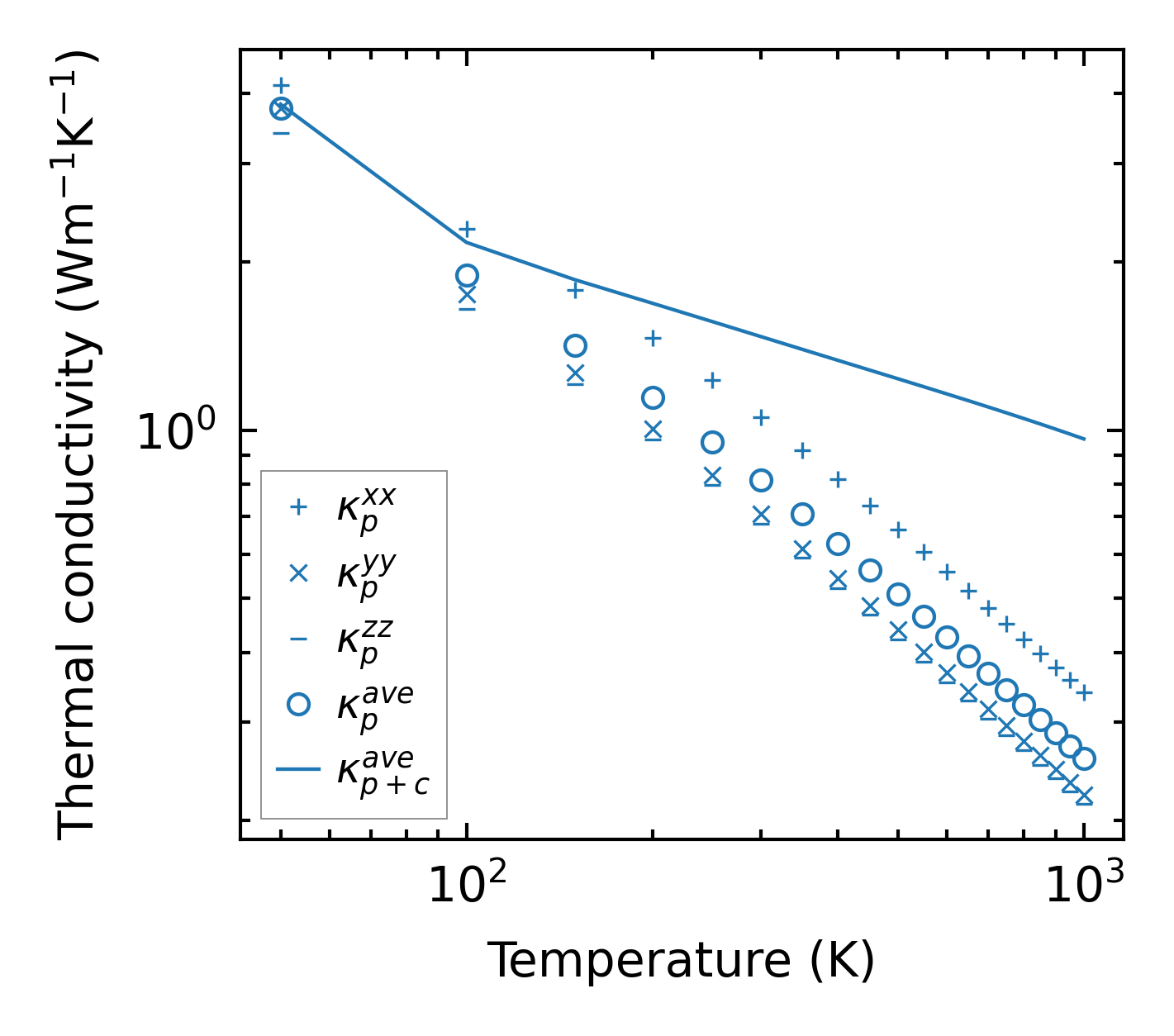
Thermal conductivity

3-phonon (LASSO) — q-mesh: 20x12x12, supercell: 3x1x2

../../_images/fig_kappa13118.png

(a) Temperature-dependent lattice thermal conductivity

../../_images/fig_kappa_vs_grain_size7051.png

(b) Peierls lattice thermal conductivity w.r.t grain size

Phonon lifetime and scattering rates

../../_images/fig_lifetime6903.png

(a) Phonon lifetime due to phonon-phonon scattering

../../_images/fig_scat_rates6902.png

(b) Phonon scattering rates

Cumulative and spectral thermal conductivity

../../_images/fig_cumu_frequency6903.png

(a) Spectral and cumulative thermal conductivity w.r.t frequency

../../_images/fig_cumu_mfp6902.png

(b) Spectral and cumulative thermal conductivity w.r.t MFP

Force constants

../../_images/fig_fc215678.png

(a) Force constants w.r.t atomic distance

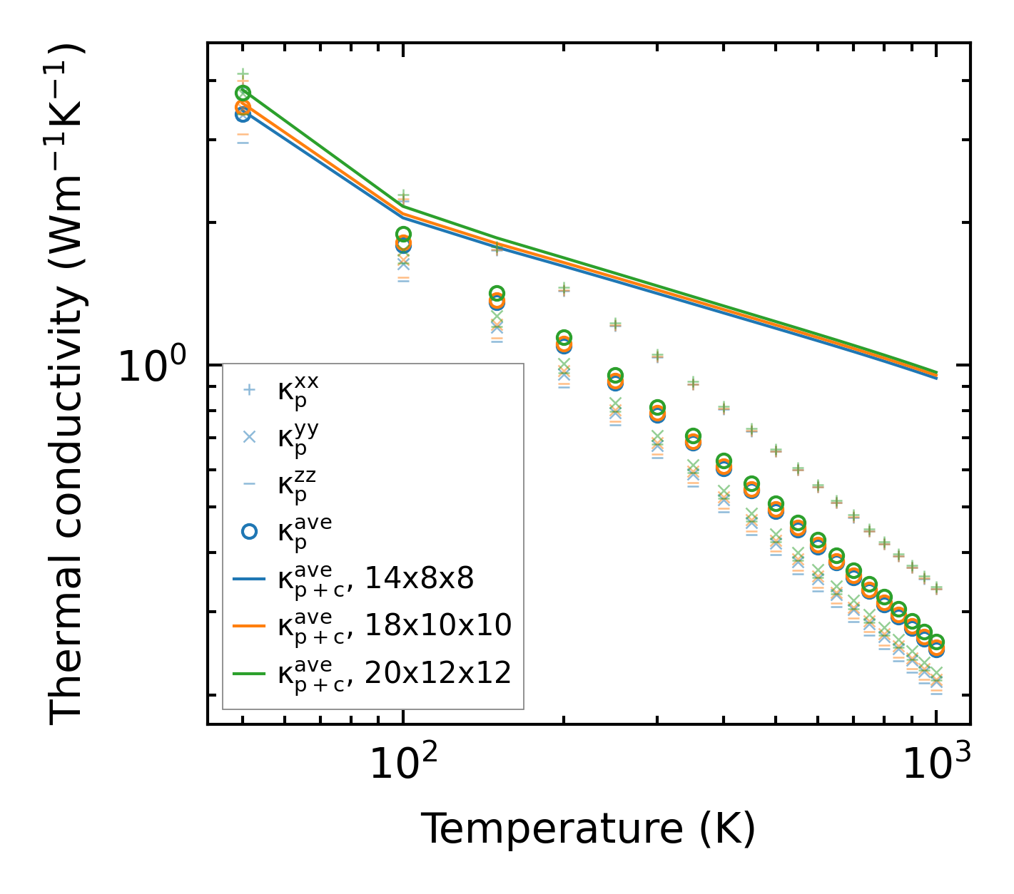
Summary

../../_images/fig_kappa13119.png

(a) Temperature-dependent lattice thermal conductivity

../../_images/fig_times26450.png

(b) Computation time