mp-1084770/K2BiAu/anharm

Equation of state

../../_images/fig_bm7811.png

(a) Equation of state

Harmonic properties

../../_images/fig_bandos_pr17001.png

(a) Phonon dispersion with participation ratio and DOS

../../_images/fig_bandos21313.png

(b) Phonon dispersion and DOS

../../_images/fig_thermo17000.png

(c) Thermodynamic properties

Grüneisen parameters

../../_images/fig_gru_all7449.png

(a) Grüneisen parameters

../../_images/fig_gruneisen7449.png

(b) Phonon dispersion with Grüneisen parameters

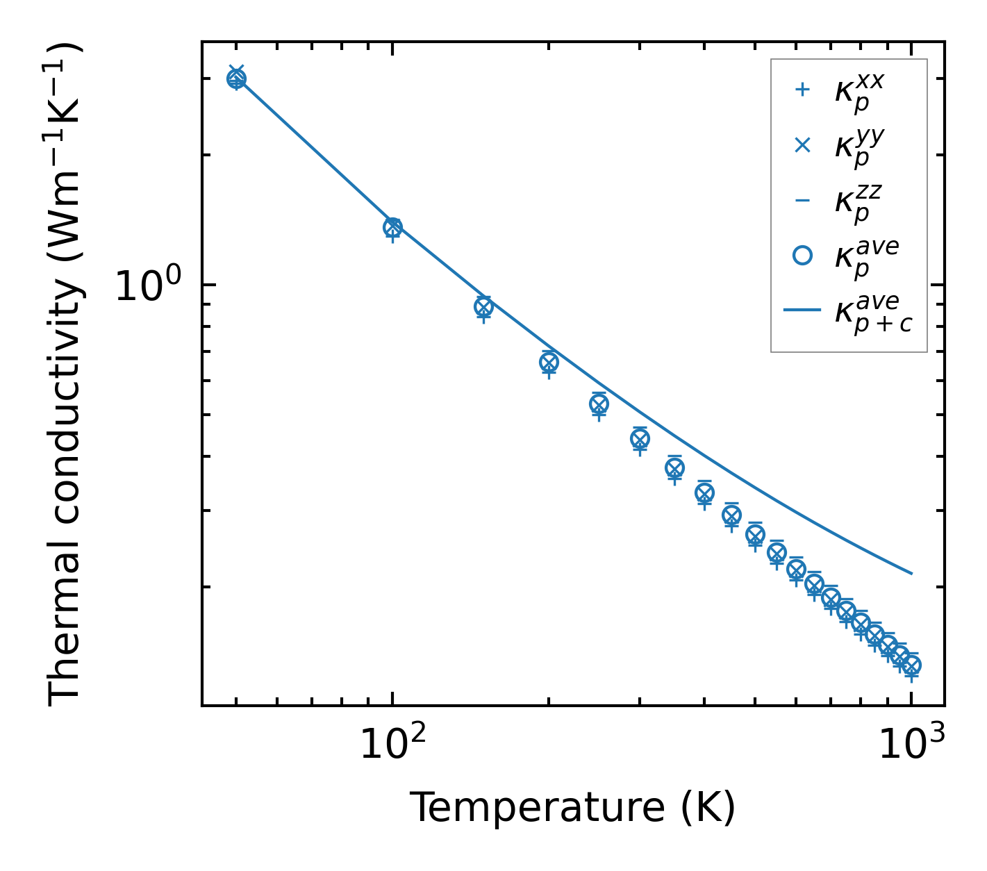
Thermal conductivity

3-phonon (LASSO), supercell 2x2x3 — q-mesh: 11x11x11, supercell: 2x2x3

../../_images/fig_kappa14050.png

(a) Temperature-dependent lattice thermal conductivity

../../_images/fig_kappa_vs_grain_size7537.png

(b) Peierls lattice thermal conductivity w.r.t grain size

Phonon lifetime and scattering rates

../../_images/fig_lifetime7382.png

(a) Phonon lifetime due to phonon-phonon scattering

../../_images/fig_scat_rates7381.png

(b) Phonon scattering rates

Cumulative and spectral thermal conductivity

../../_images/fig_cumu_frequency7382.png

(a) Spectral and cumulative thermal conductivity w.r.t frequency

../../_images/fig_cumu_mfp7381.png

(b) Spectral and cumulative thermal conductivity w.r.t MFP

Force constants

../../_images/fig_fc216553.png

(a) Force constants w.r.t atomic distance

Summary

../../_images/fig_times27705.png

(a) Computation time