mp-1072399/Be5Pt/anharm

Harmonic properties

../../_images/fig_bandos_pr17142.png

(a) Phonon dispersion with participation ratio and DOS

../../_images/fig_thermo17141.png

(b) Thermodynamic properties

Grüneisen parameters

../../_images/fig_gru_all7497.png

(a) Grüneisen parameters

../../_images/fig_gruneisen7497.png

(b) Phonon dispersion with Grüneisen parameters

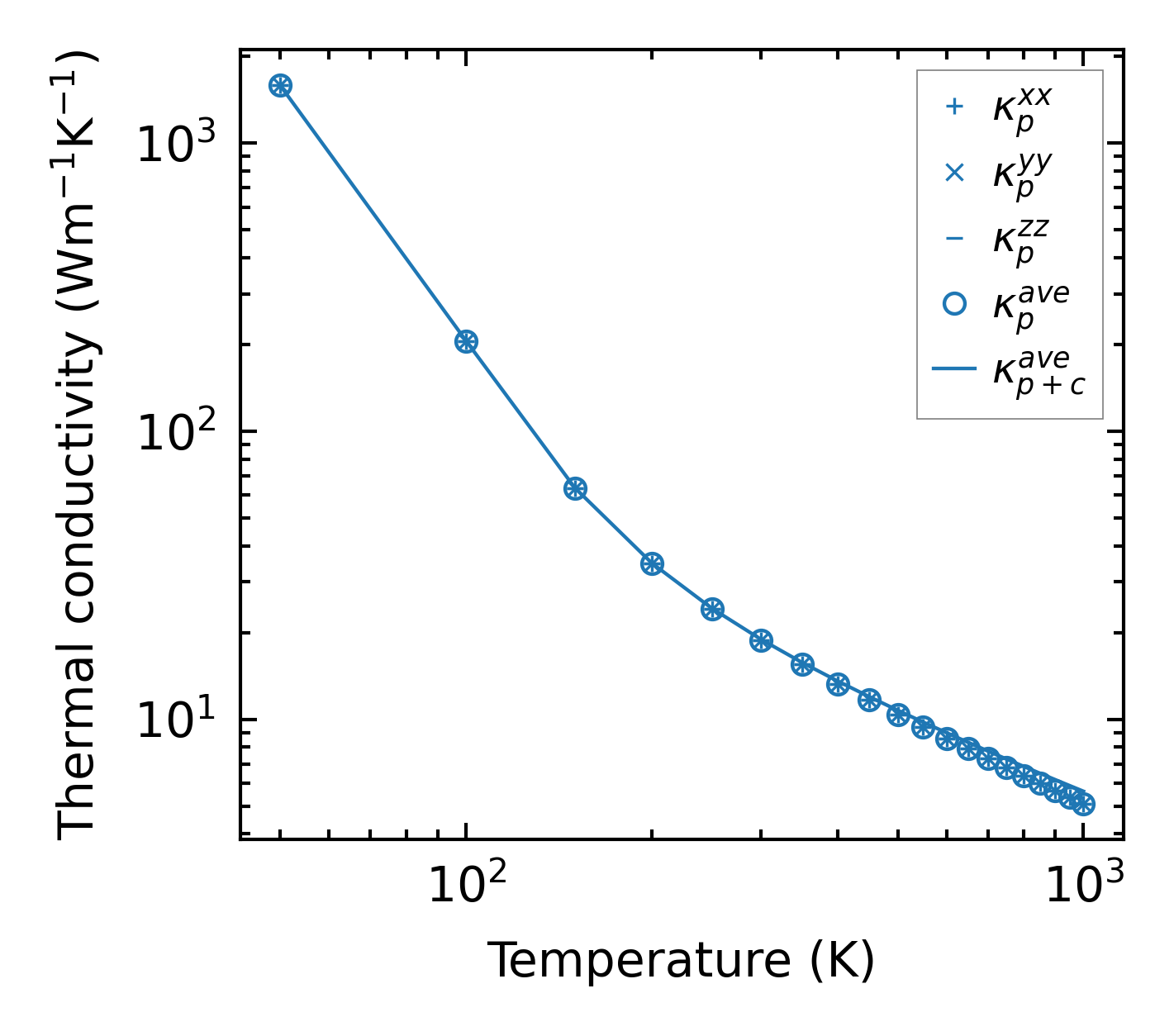
Thermal conductivity

3-phonon (LASSO) — q-mesh: 19x19x19, supercell: 1x1x1

../../_images/fig_kappa14144.png

(a) Temperature-dependent lattice thermal conductivity

../../_images/fig_kappa_vs_grain_size7587.png

(b) Peierls lattice thermal conductivity w.r.t grain size

Phonon lifetime and scattering rates

../../_images/fig_lifetime7430.png

(a) Phonon lifetime due to phonon-phonon scattering

../../_images/fig_scat_rates7429.png

(b) Phonon scattering rates

Cumulative and spectral thermal conductivity

../../_images/fig_cumu_frequency7430.png

(a) Spectral and cumulative thermal conductivity w.r.t frequency

../../_images/fig_cumu_mfp7429.png

(b) Spectral and cumulative thermal conductivity w.r.t MFP

Force constants

../../_images/fig_fc216686.png

(a) Force constants w.r.t atomic distance

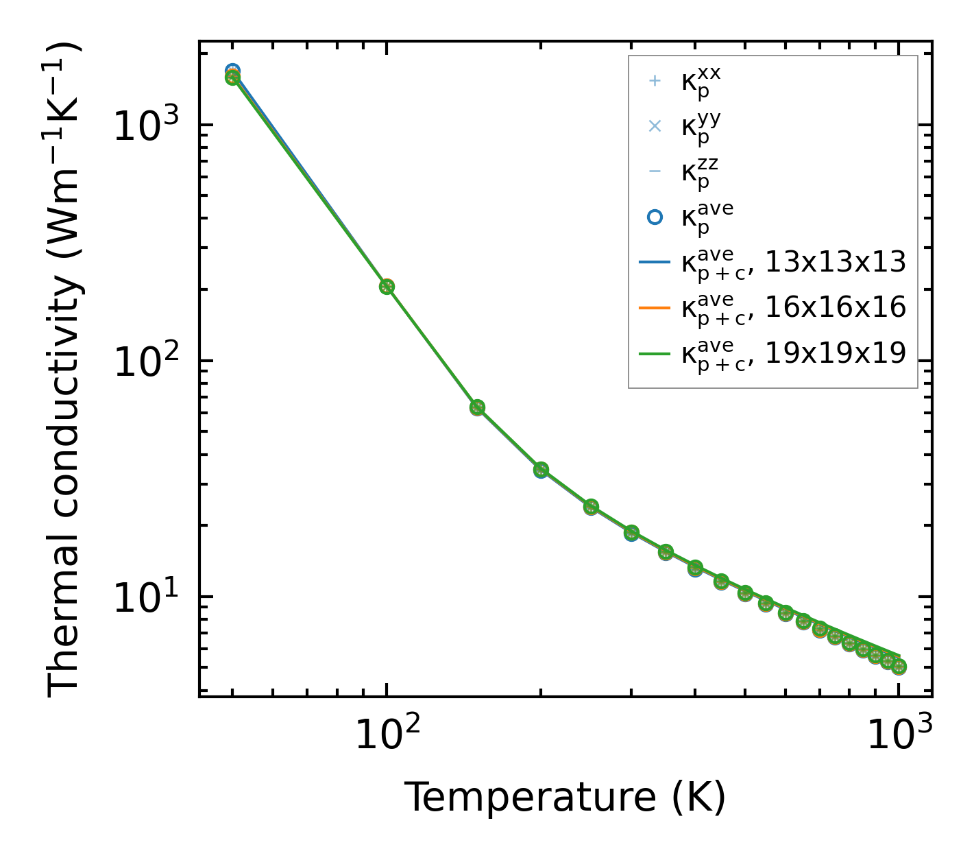
Summary

../../_images/fig_kappa14145.png

(a) Temperature-dependent lattice thermal conductivity

../../_images/fig_times27967.png

(b) Computation time