mp-1069695/SrMg2Bi2/anharm

Harmonic properties

../../_images/fig_bandos_pr17126.png

(a) Phonon dispersion with participation ratio and DOS

../../_images/fig_thermo17125.png

(b) Thermodynamic properties

Grüneisen parameters

../../_images/fig_gru_all7485.png

(a) Grüneisen parameters

../../_images/fig_gruneisen7485.png

(b) Phonon dispersion with Grüneisen parameters

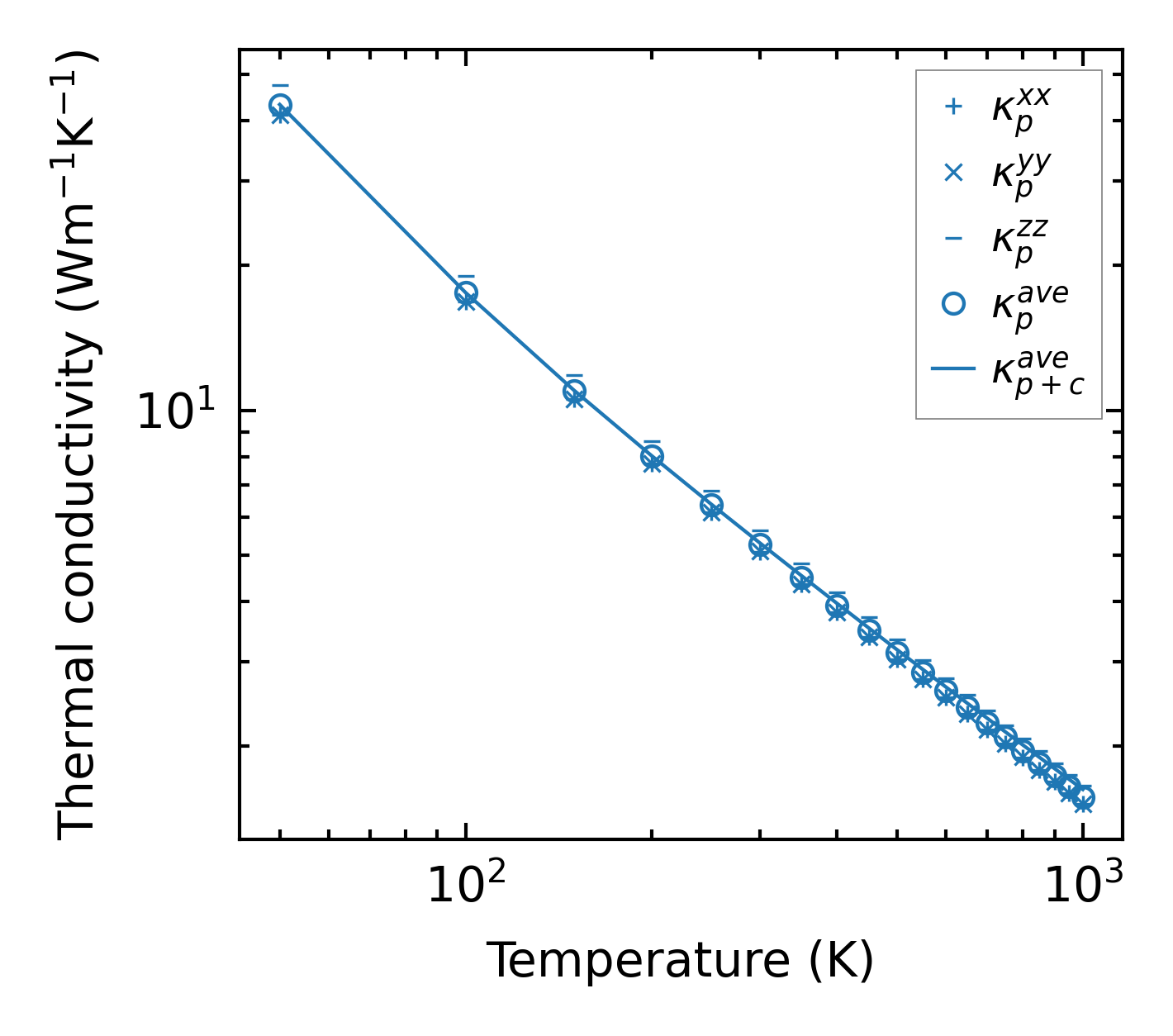
Thermal conductivity

3-phonon (LASSO) — q-mesh: 15x15x9, supercell: 3x3x2

../../_images/fig_kappa14122.png

(a) Temperature-dependent lattice thermal conductivity

../../_images/fig_kappa_vs_grain_size7575.png

(b) Peierls lattice thermal conductivity w.r.t grain size

Phonon lifetime and scattering rates

../../_images/fig_lifetime7418.png

(a) Phonon lifetime due to phonon-phonon scattering

../../_images/fig_scat_rates7417.png

(b) Phonon scattering rates

Cumulative and spectral thermal conductivity

../../_images/fig_cumu_frequency7418.png

(a) Spectral and cumulative thermal conductivity w.r.t frequency

../../_images/fig_cumu_mfp7417.png

(b) Spectral and cumulative thermal conductivity w.r.t MFP

Force constants

../../_images/fig_fc216671.png

(a) Force constants w.r.t atomic distance

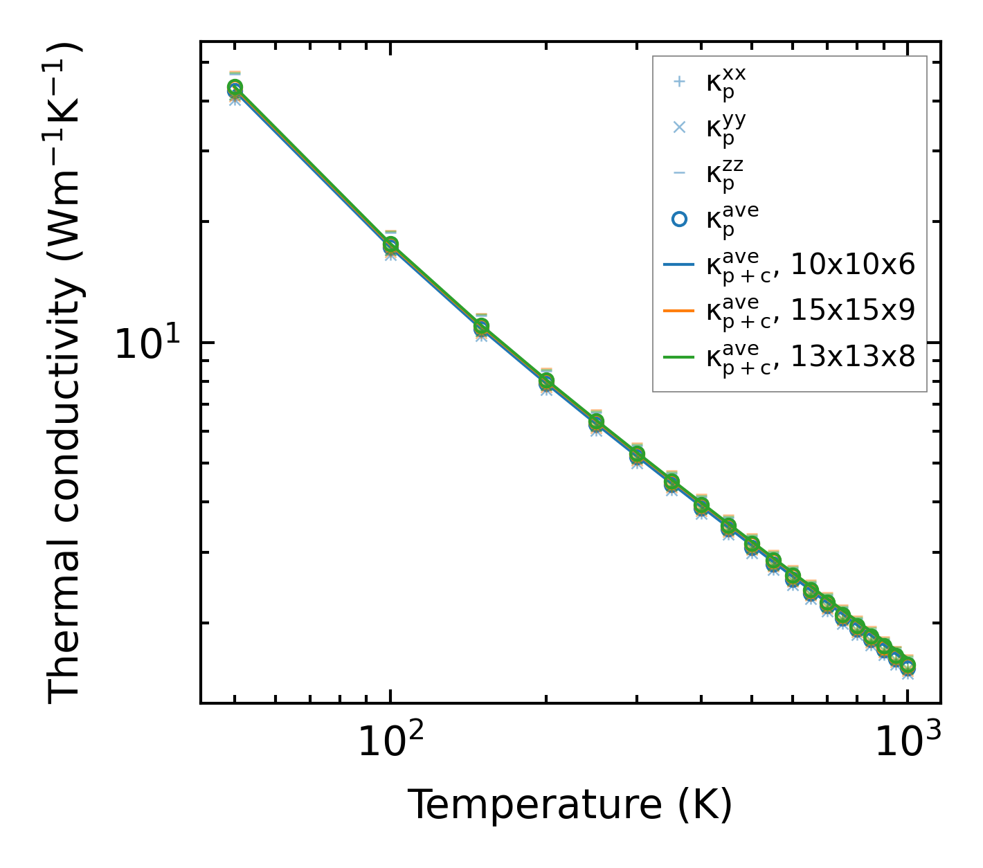
Summary

../../_images/fig_kappa14123.png

(a) Temperature-dependent lattice thermal conductivity

../../_images/fig_times27946.png

(b) Computation time