mp-1062711/Rb2Pd/anharm

Harmonic properties

../../_images/fig_bandos_pr17112.png

(a) Phonon dispersion with participation ratio and DOS

../../_images/fig_thermo17111.png

(b) Thermodynamic properties

Grüneisen parameters

../../_images/fig_gru_all7474.png

(a) Grüneisen parameters

../../_images/fig_gruneisen7474.png

(b) Phonon dispersion with Grüneisen parameters

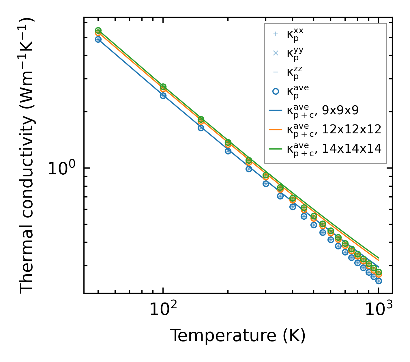
Thermal conductivity

3-phonon — q-mesh: 14x14x14, supercell: 2x2x2

../../_images/fig_kappa14098.png

(a) Temperature-dependent lattice thermal conductivity

../../_images/fig_kappa_vs_grain_size7562.png

(b) Peierls lattice thermal conductivity w.r.t grain size

Phonon lifetime and scattering rates

../../_images/fig_lifetime7407.png

(a) Phonon lifetime due to phonon-phonon scattering

../../_images/fig_scat_rates7406.png

(b) Phonon scattering rates

Cumulative and spectral thermal conductivity

../../_images/fig_cumu_frequency7407.png

(a) Spectral and cumulative thermal conductivity w.r.t frequency

../../_images/fig_cumu_mfp7406.png

(b) Spectral and cumulative thermal conductivity w.r.t MFP

Force constants

../../_images/fig_fc3452.png

(a) Force constants w.r.t atomic distance

Summary

../../_images/fig_kappa14099.png

(a) Temperature-dependent lattice thermal conductivity

../../_images/fig_times27926.png

(b) Computation time