mp-1056920/CsI/anharm

Harmonic properties

../../_images/fig_bandos_pr17109.png

(a) Phonon dispersion with participation ratio and DOS

../../_images/fig_thermo17108.png

(b) Thermodynamic properties

Grüneisen parameters

../../_images/fig_gru_all7471.png

(a) Grüneisen parameters

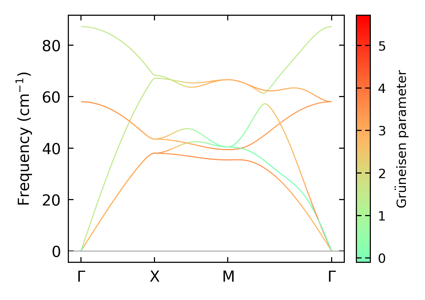
../../_images/fig_gruneisen7471.png

(b) Phonon dispersion with Grüneisen parameters

Thermal conductivity

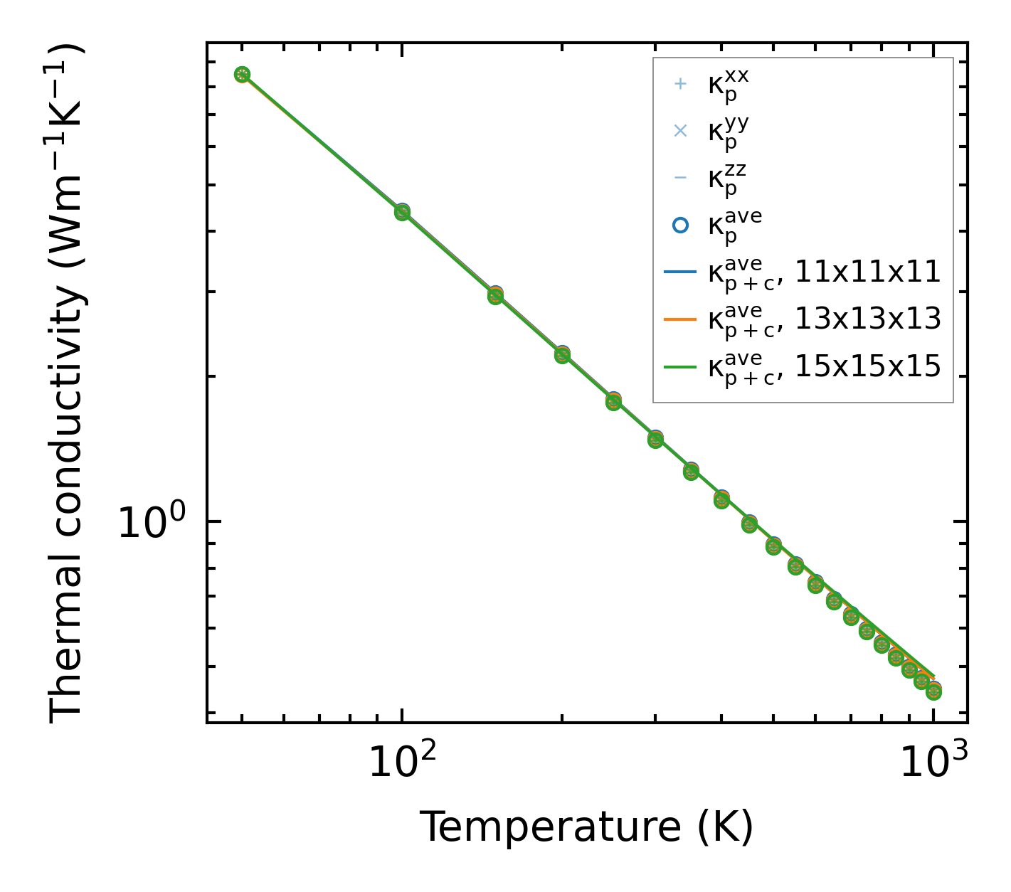
3-phonon — q-mesh: 15x15x15, supercell: 4x4x4

../../_images/fig_kappa14092.png

(a) Temperature-dependent lattice thermal conductivity

../../_images/fig_kappa_vs_grain_size7559.png

(b) Peierls lattice thermal conductivity w.r.t grain size

Phonon lifetime and scattering rates

../../_images/fig_lifetime7404.png

(a) Phonon lifetime due to phonon-phonon scattering

../../_images/fig_scat_rates7403.png

(b) Phonon scattering rates

Cumulative and spectral thermal conductivity

../../_images/fig_cumu_frequency7404.png

(a) Spectral and cumulative thermal conductivity w.r.t frequency

../../_images/fig_cumu_mfp7403.png

(b) Spectral and cumulative thermal conductivity w.r.t MFP

Force constants

../../_images/fig_fc3449.png

(a) Force constants w.r.t atomic distance

Summary

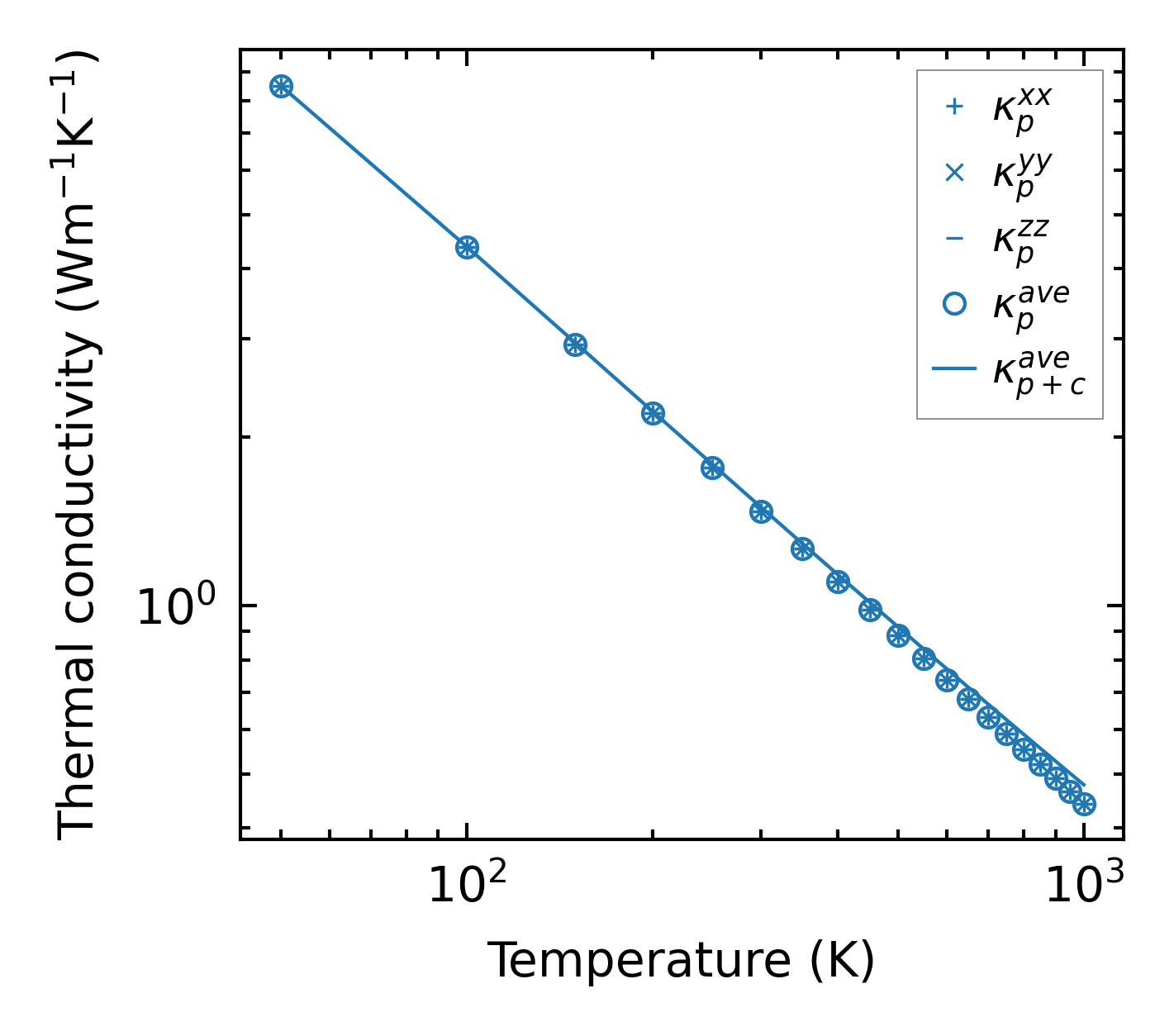
../../_images/fig_kappa14093.png

(a) Temperature-dependent lattice thermal conductivity

../../_images/fig_times27921.png

(b) Computation time