mp-1045961/TiZnO2/anharm

Harmonic properties

../../_images/fig_bandos_pr17052.png

(a) Phonon dispersion with participation ratio and DOS

../../_images/fig_thermo17051.png

(b) Thermodynamic properties

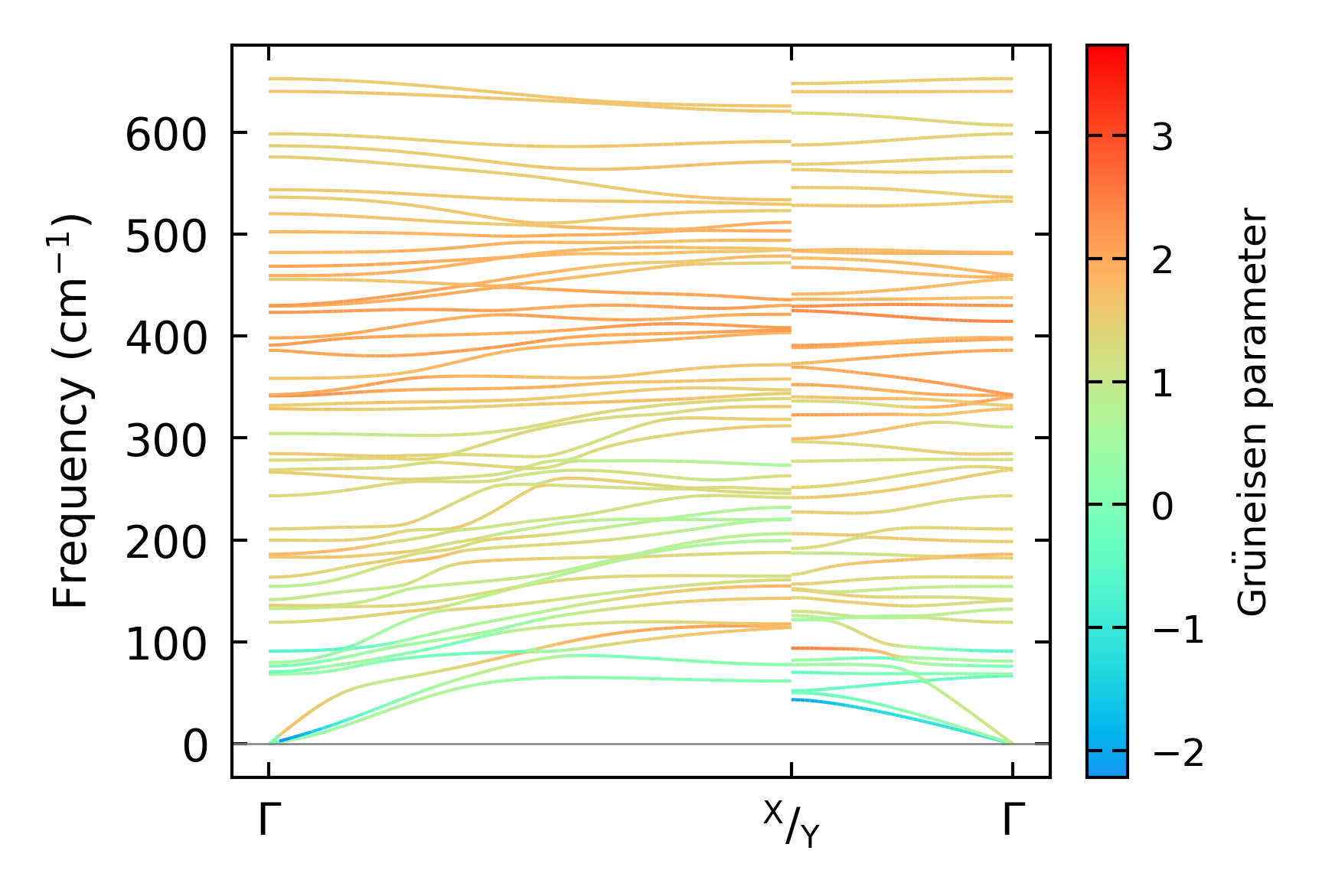
Grüneisen parameters

../../_images/fig_gru_all7459.png

(a) Grüneisen parameters

../../_images/fig_gruneisen7459.png

(b) Phonon dispersion with Grüneisen parameters

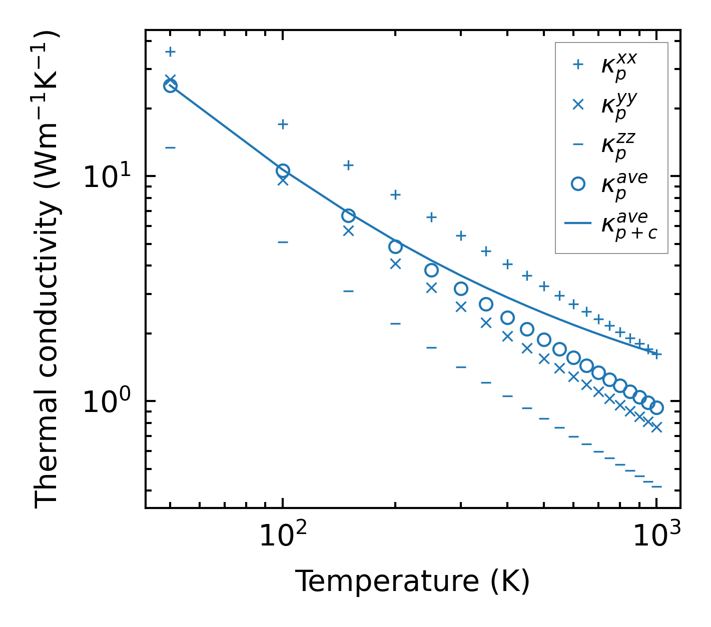
Thermal conductivity

3-phonon (LASSO) — q-mesh: 25x9x8, supercell: 3x2x1

../../_images/fig_kappa14068.png

(a) Temperature-dependent lattice thermal conductivity

../../_images/fig_kappa_vs_grain_size7547.png

(b) Peierls lattice thermal conductivity w.r.t grain size

Phonon lifetime and scattering rates

../../_images/fig_lifetime7392.png

(a) Phonon lifetime due to phonon-phonon scattering

../../_images/fig_scat_rates7391.png

(b) Phonon scattering rates

Cumulative and spectral thermal conductivity

../../_images/fig_cumu_frequency7392.png

(a) Spectral and cumulative thermal conductivity w.r.t frequency

../../_images/fig_cumu_mfp7391.png

(b) Spectral and cumulative thermal conductivity w.r.t MFP

Force constants

../../_images/fig_fc216604.png

(a) Force constants w.r.t atomic distance

Summary

../../_images/fig_kappa14069.png

(a) Temperature-dependent lattice thermal conductivity

../../_images/fig_times27801.png

(b) Computation time