mp-1043901/ZnCuBiO5/anharm

Harmonic properties

../../_images/fig_bandos_pr17024.png

(a) Phonon dispersion with participation ratio and DOS

../../_images/fig_thermo17023.png

(b) Thermodynamic properties

Grüneisen parameters

../../_images/fig_gru_all7455.png

(a) Grüneisen parameters

../../_images/fig_gruneisen7455.png

(b) Phonon dispersion with Grüneisen parameters

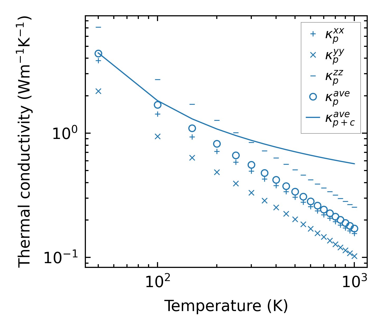
Thermal conductivity

3-phonon (LASSO) — q-mesh: 14x6x9, supercell: 2x1x2

../../_images/fig_kappa14060.png

(a) Temperature-dependent lattice thermal conductivity

../../_images/fig_kappa_vs_grain_size7543.png

(b) Peierls lattice thermal conductivity w.r.t grain size

Phonon lifetime and scattering rates

../../_images/fig_lifetime7388.png

(a) Phonon lifetime due to phonon-phonon scattering

../../_images/fig_scat_rates7387.png

(b) Phonon scattering rates

Cumulative and spectral thermal conductivity

../../_images/fig_cumu_frequency7388.png

(a) Spectral and cumulative thermal conductivity w.r.t frequency

../../_images/fig_cumu_mfp7387.png

(b) Spectral and cumulative thermal conductivity w.r.t MFP

Force constants

../../_images/fig_fc216576.png

(a) Force constants w.r.t atomic distance

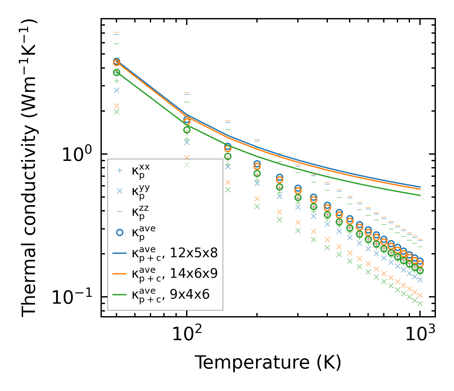
Summary

../../_images/fig_kappa14061.png

(a) Temperature-dependent lattice thermal conductivity

../../_images/fig_times27747.png

(b) Computation time