mp-1026034-2/MoW2S6/anharm

Equation of state

../../_images/fig_bm7819.png

(a) Equation of state

Harmonic properties

../../_images/fig_bandos_pr17173.png

(a) Phonon dispersion with participation ratio and DOS

../../_images/fig_bandos21581.png

(b) Phonon dispersion and DOS

../../_images/fig_thermo17172.png

(c) Thermodynamic properties

Grüneisen parameters

../../_images/fig_gru_all7518.png

(a) Grüneisen parameters

../../_images/fig_gruneisen7518.png

(b) Phonon dispersion with Grüneisen parameters

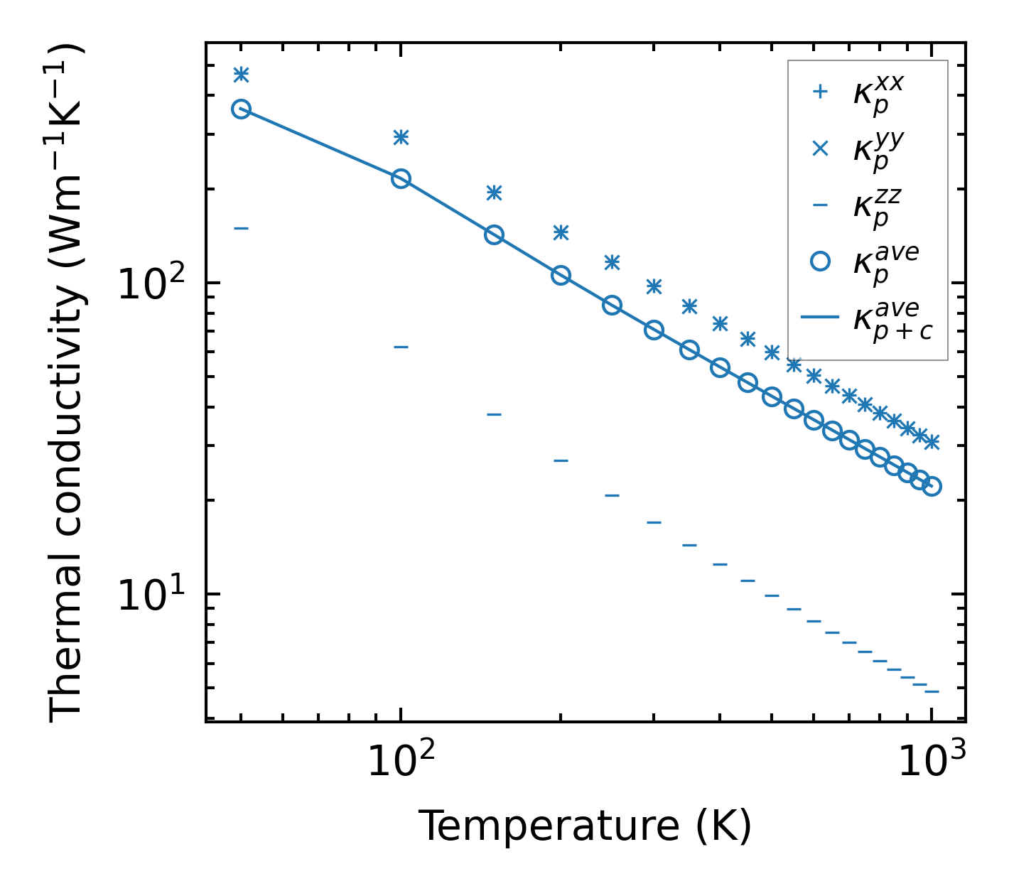
Thermal conductivity

3-phonon (LASSO), supercell 5x5x1 — q-mesh: 24x24x3, supercell: 5x5x1

../../_images/fig_kappa14183.png

(a) Temperature-dependent lattice thermal conductivity

../../_images/fig_kappa_vs_grain_size7607.png

(b) Peierls lattice thermal conductivity w.r.t grain size

Phonon lifetime and scattering rates

../../_images/fig_lifetime7450.png

(a) Phonon lifetime due to phonon-phonon scattering

../../_images/fig_scat_rates7449.png

(b) Phonon scattering rates

Cumulative and spectral thermal conductivity

../../_images/fig_cumu_frequency7450.png

(a) Spectral and cumulative thermal conductivity w.r.t frequency

../../_images/fig_cumu_mfp7449.png

(b) Spectral and cumulative thermal conductivity w.r.t MFP

Force constants

../../_images/fig_fc216714.png

(a) Force constants w.r.t atomic distance

Summary

../../_images/fig_times28035.png

(a) Computation time